58同城数据库架构设计思路

gxw6 11年前

58同城数据库架构设计思路

58和赶集合并了,但是针对于58同城这类分类信息网站的数据量一定会非常大,但是他们的数据库架构又有多少人了解呢?


(1)可用性设计

解决思路:复制+冗余

副作用:复制+冗余一定会引发一致性问题

保证“读”高可用的方法:复制从库,冗余数据,如下图


带来的问题:主从不一致

解决方案:见下文


保证“写”高可用的一般方法双主模式,即复制主库(很多公司用单master,此时无法保证写的可用性),冗余数据,如下图


带来的问题:双主同步key冲突,引不一致

解决方案:

a)方案一:由数据库或者业务层保证key在两个主上不冲突

b)方案二:见下文


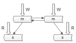
58同城保证“写”高可用的方法“双主”当“主从”用,不做读写分离,在“主”挂掉的情况下,“从”(其实是另外一个主),顶上,如下图


优点:读写都到主,解决了一致性问题;“双主”当“主从”用,解决了可用性问题

带来的问题:读性能如何扩充?解决方案见下文


(2)读性能设计:如何扩展读性能

最常用的方法是,建立索引

建立非常多的索引,副作用是:

a)降低了写性能

b)索引占内存多了,放在内存中的数据就少了,数据命中率就低了,IO次数就多了

但是否想到,不同的库可以建立不同的索引呢?如下图


TIPS:不同的库可以建立不同索引

主库只提供写,不建立索引

online从库只提供online读,建立online读索引

offline从库只提供offline读,建立offline读索引


提高读性能常见方案二,增加从库

上文已经提到,这种方法会引发主从不一致问题,从库越多,主从时延越长,不一致问题越严重

这种方案很常见,但58没有采用


提高读性能方案三,增加缓存

传统缓存的用法是:

a)发生写请求时,先淘汰缓存,再写数据库

b)发生读请求时,先读缓存,hit则返回,miss则读数据库并将数据入缓存(此时可能旧数据入缓存),如下图


带来的问题:

a)如上文所述,数据复制会引发一致性问题,由于主从延时的存在,可能引发缓存与数据库数据不一致

b)所有app业务层都要关注缓存,无法屏蔽“主+从+缓存”的复杂性


58同城缓存使用方案:服务+数据+缓存


好处是:

1)引入服务层屏蔽“数据库+缓存”

2)不做读写分离,读写都到主的模式,不会引发不一致


(3)一致性设计

主从不一致解决方案

方案一:引入中间件


中间件将key上的写路由到主,在一定时间范围内(主从同步完成的经验时间),该key上的读也路由到主


方案二:读写都到主

上文已经提到,58同城采用了这种方法,不做读写分离,不会不一致


数据库与缓存不一致解决方案

两次淘汰法

异常的读写时序,或导致旧数据入缓存,一次淘汰不够,要进行二次淘汰

a)发生写请求时,先淘汰缓存,再写数据库,额外增加一个timer,一定时间(主从同步完成的经验时间)后再次淘汰

b)发生读请求时,先读缓存,hit则返回,miss则读数据库并将数据入缓存(此时可能旧数据入缓存,但会被二次淘汰淘汰掉,最终不会引发不一致)


(4)扩展性设计

(4.1)58同城秒级别数据扩容

需求:原来水平切分为N个库,现在要扩充为2N个库,希望不影响服务,在秒级别完成


最开始,分为2库,0库和1库,均采用“双主当主从用”的模式保证可用性



接下来,将从库提升,并修改服务端配置,秒级完成扩库

由于是2扩4,不会存在数据迁移,原来的0库变为0库+2库,原来的1库变为1库和3库

此时损失的是数据的可用性



最后,解除旧的双主同步(0库和2库不会数据冲突),为了保证可用性增加新的双主同步,并删除掉多余的数据

这种方案可以秒级完成N库到2N库的扩容。


存在的问题:只能完成N库扩2N库的扩容(不需要数据迁移),非通用扩容方案(例如3库扩4库就无法完成)


(4.2)非指数扩容,数据库增加字段,数据迁移

方案一:追日志方案

方案二:双写方案


(4.3)水平切分怎么切

四类场景覆盖99%拆库业务

a)“单key”场景,用户库如何拆分: user(uid, XXOO)

b)“1对多”场景,帖子库如何拆分: tiezi(tid, uid, XXOO)

c)“多对多”场景,好友库如何拆分: friend(uid, friend_uid, XXOO)

d)“多key”场景,订单库如何拆分:order(oid, buyer_id, seller_id, XXOO)


(5)海量数据下,SQL怎么玩

不会这么玩

a)各种联合查询

b)子查询

c)触发器

d)用户自定义函数

e)“事务”都用的很少

原因:对数据库性能影响极大


拆库后,IN查询怎么玩[回复“同城”回看(上)篇]

拆库后,非Partition key的查询怎么玩[回复“同城”回看(上)篇]

拆库后,夸库分页怎么玩?[回复“同城”回看(上)篇]

问题的提出与抽象:ORDER BY xxx OFFSET xxx LIMIT xxx

单机方案:ORDER BY time OFFSET 10000 LIMIT 100

分库后的难题如何确认全局偏移量

分库后传统解决方案:查询改写+内存排序

a)ORDER BY time OFFSET 0 LIMIT 10000+100

b)对20200条记录进行排序

c)返回第10000至10100条记录

优化方案一:增加辅助id,以减少查询量

优化方案二:模糊查询

a)业务上:禁止查询XX页之后的数据

b)业务上:允许模糊返回 => 第100页数据的精确性真这么重要么?


最后的大招!!!

优化方案三:终极方案,业务无损,查询改写与两段查询

需求:ORDER BY x OFFSET 10000 LIMIT 4; 如何在分库下实现(假设分3库)

步骤一、查询改写: ORDER BY x OFFSET 3333 LIMIT 4

[4,7,9,10] <= 1库返回

[3,5,6,7] <= 2库返回

[6,8,9,11] <= 3库返回

步骤二、找到步骤一返回的min和max,即3和11

步骤三、通过min和max二次查询:ORDER BY x WHERE x BETWEEN 3 AND 11

[3,4,7,9,10] <= 1库返回,4在1库offset是3333,于是3在1库的offset是3332

[3,5,6,7,11] <= 2库返回,3在2库offset是3333

[3,5,6,8,9,11] <= 3库返回,6在3库offset是3333,于是3在3库的offset是3331

步骤四、找出全局OFFSET

3是全局offset3332+3333+3331=9996

当当当当,跳过3,3,3,4,于是全局OFFSET 10000 LIMIT 4是[5,5,6,6]


总结:58同城数据库架构设计思路

(1)可用性,解决思路是冗余(复制)

(1.1)读可用性:多个从库

(1.2)写可用性:双主模式 or 双主当主从用(58的玩法)

(2)读性能,三种方式扩充读性能

(2.1)增加索引:主从上的索引可以不一样

(2.2)增加从库

(2.3)增加缓存:服务+缓存+数据一套(58的玩法)

(3)一致性

(3.1)主从不一致:引入中间层 or 读写都走主库(58的玩法)

(3.2)缓存不一致:双淘汰来解决缓存不一致问题

(4)扩展性

(4.1)数据扩容:提升从库,double主库,秒级扩容

(4.2)字段扩展:追日志法 or 双写法

(4.3)水平切分

(单key)用户库如何拆分:, user(uid XXOO)

(1对多)帖子库如何拆分: tiezi(tid, uid, XXOO)

(多对多)好友库如何拆分: friend(uid, friend_uid, XXOO)

(多key)订单库如何拆分:order(oid, buyer_id, seller_id, XXOO)

(5)SQL玩法

(5.0)不这么玩:联合查询,子查询,触发器,自定义函数,事务

(5.1)IN查询:分发MR or 拼装成不同SQL语句

(5.2)非partition key查询:定位一个库 or 分发MR

(5.3)夸库分页

(5.3.1)修改sql语句,服务内排序

(5.3.2)引入特殊id,减少返回数量

(5.3.3)业务优化,允许模糊查询

(5.3.4)查询改写,二段查询

来自:http://mp.weixin.qq.com/s?__biz=MjM5ODI5Njc2MA==&mid=205789980&idx=2&sn=f62a429d4ccd7a159148084bad71f54c&scene=2&from=timeline&isappinstalled=0#rd